Dr. Tricia Van Laar Associate Professor of Microbial Genomics at CSU Stanislaus

Publications

Here, you’ll find the complete list of papers written by Dr. Van Laar and her colleagues. Please let us know if you have any questions about the work!

Highlighted

Reference genome of an irruptive migrant, the pine siskin (<i>Spinus pinus</i>)
Reference genome of an irruptive migrant, the pine siskin (Spinus pinus)
Jair Cortez, Joel W G Slade, Tricia A Van Laar
Journal of Heredity   ·   07 Oct 2025   ·   doi:10.1093/jhered/esaf076

All

2025

Draft genome sequence of
                    <i>Clostridium tetanomorphum</i>
                    DSM 4474
                    <sup>T</sup>
                    isolated from a septic wound
Draft genome sequence of Clostridium tetanomorphum DSM 4474 T isolated from a septic wound
Ally Watkins, Charles Walker Cano, Emma Hoover, Nicholas Peterson, Stefan Spring, Markus Goker, Natalia Ivanova, Rekha Seshadri, Tricia A. Van Laar
Microbiology Resource Announcements   ·   04 Nov 2025   ·   doi:10.1128/mra.00842-25
Reference genome of an irruptive migrant, the pine siskin (<i>Spinus pinus</i>)
Reference genome of an irruptive migrant, the pine siskin (Spinus pinus)
Jair Cortez, Joel W G Slade, Tricia A Van Laar
Journal of Heredity   ·   07 Oct 2025   ·   doi:10.1093/jhered/esaf076
Draft genome sequence of
            <i>Dolosicoccus paucivorans</i>
            DSM 15742
            <sup>T</sup>
            isolated from a patient’s blood in Cleveland, Ohio
Draft genome sequence of Dolosicoccus paucivorans DSM 15742 T isolated from a patient’s blood in Cleveland, Ohio
Angelina Garcia Guzman, Andrea Orozco, Haleema Amin, Rüdiger Pukall, Markus Goeker, Natalia Ivanova, Rekha Seshadri, Tricia A. Van Laar
Microbiology Resource Announcements   ·   10 Jul 2025   ·   doi:10.1128/mra.01296-24
Draft genome sequence of
            <i>Trichococcus flocculiformis</i>
            DSM 2094
            <sup>T</sup>
            isolated from bulking sludge in Germany
Draft genome sequence of Trichococcus flocculiformis DSM 2094 T isolated from bulking sludge in Germany
Asema Amin, Jessica Mojica, Adrian Sanchez, Ruediger Pukall, Markus Göker, Kurt LaButti, Tanja Woyke, Rekha Seshadri, Tricia A. Van Laar
Microbiology Resource Announcements   ·   10 Apr 2025   ·   doi:10.1128/mra.01293-24
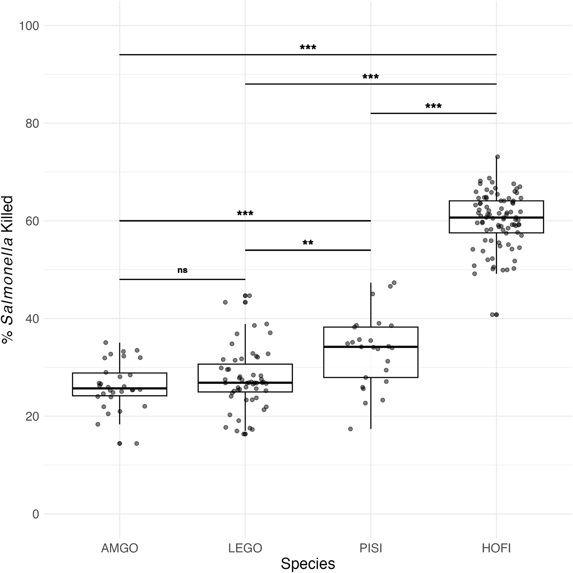
Cardueline Finches Vary in Constitutive Innate Immunity Against a Harmful Strain of Avian <i>Salmonella</i>
Cardueline Finches Vary in Constitutive Innate Immunity Against a Harmful Strain of Avian Salmonella
Lindsey G Biehler, Tricia A Van Laar, Joel W G Slade
Integrative And Comparative Biology   ·   29 Mar 2025   ·   doi:10.1093/icb/icaf005

2024

Evaluating microbiome patterns, microbial species, and leg health associated with reused litter in a commercial broiler barn
Evaluating microbiome patterns, microbial species, and leg health associated with reused litter in a commercial broiler barn
Anh Dang Trieu Do, Annie Lozano, Tricia A. Van Laar, Reyna Mero, Cynthia Lopez, Cirenio Hisasaga, Rodrigo Lopez, Monica Franco, Ruel Celeste, Katy J. Tarrant
Journal of Applied Poultry Research   ·   01 Dec 2024   ·   doi:10.1016/j.japr.2024.100490
16S rRNA gene sequencing of microbiota from the preen oil and cloaca of chipping sparrows (<i>Spizella passerina</i>)
16S rRNA gene sequencing of microbiota from the preen oil and cloaca of chipping sparrows (Spizella passerina)
Tricia A. Van Laar, Jonathan M. Greenberg, Kevin R. Theis, Danielle J. Whittaker, Joel W. G. Slade
Microbiology Resource Announcements   ·   10 Oct 2024   ·   doi:10.1128/mra.00576-24

2023

Effects of short-term experimental manipulation of captive social environment on uropygial gland microbiome and preen oil volatile composition
Effects of short-term experimental manipulation of captive social environment on uropygial gland microbiome and preen oil volatile composition
Danielle J. Whittaker, Amruth Atyam, Nathan A. Burroughs, Jonathan M. Greenberg, Travis J. Hagey, Milos V. Novotny, Helena A. Soini, Kevin R. Theis, Tricia A. Van Laar, Joel W. G. Slade
Frontiers in Ecology and Evolution   ·   06 Jan 2023   ·   doi:10.3389/fevo.2022.1027399

2022

Draft Genome Sequence of a Multidrug-Resistant Strain of <i>Salmonella enterica</i> Serovar Typhimurium Isolated from a Pine Siskin (<i>Spinus pinus</i>)
Draft Genome Sequence of a Multidrug-Resistant Strain of Salmonella enterica Serovar Typhimurium Isolated from a Pine Siskin (Spinus pinus)
Tricia A. Van Laar, Lindsey Biehler, Joel W. G. Slade
Microbiology Resource Announcements   ·   17 Nov 2022   ·   doi:10.1128/mra.00982-22

2020

16S rRNA Gene Diversity of Bacterial Endophytes in Parasitic
            <i>Cuscuta campestris</i>
            and Its
            <i>Helianthus annuus</i>
            Host
16S rRNA Gene Diversity of Bacterial Endophytes in Parasitic Cuscuta campestris and Its Helianthus annuus Host
Adam T. Avila, Tricia A. Van Laar, John V. H. Constable, Katherine Waselkov
Microbiology Resource Announcements   ·   22 Oct 2020   ·   doi:10.1128/MRA.00968-20
<i>Rickettsia</i> spp. in Five Tick Species Collected in Central California
Rickettsia spp. in Five Tick Species Collected in Central California
Cameron J Osborne, Alya J Wakeman-Hill, Steven E Loa, Paul R Crosbie, Tricia A Van Laar
Journal of Medical Entomology   ·   23 Apr 2020   ·   doi:10.1093/jme/tjaa080

2019

Transcriptome Sequence of Antibiotic-Treated <i>Pseudomonas aeruginosa</i>
Transcriptome Sequence of Antibiotic-Treated Pseudomonas aeruginosa
Saika Esani, Tsute Chen, Kai P. Leung, Tricia A. Van Laar
Microbiology Resource Announcements   ·   21 Mar 2019   ·   doi:10.1128/MRA.01367-18

2018

<i>Pseudomonas aeruginosa
            gshA</i>
            Mutant Is Defective in Biofilm Formation, Swarming, and Pyocyanin Production
Pseudomonas aeruginosa gshA Mutant Is Defective in Biofilm Formation, Swarming, and Pyocyanin Production
Tricia A. Van Laar, Saika Esani, Tyler J. Birges, Bethany Hazen, Jason M. Thomas, Mamta Rawat
mSphere   ·   25 Apr 2018   ·   doi:10.1128/msphere.00155-18

2017

Draft Genome Sequence of a Multidrug-Resistant Strain of Enterococcus faecalis, PM01, Isolated from the Nest of an American Bushtit,
            <i>Psaltriparius minimus</i>
Draft Genome Sequence of a Multidrug-Resistant Strain of Enterococcus faecalis, PM01, Isolated from the Nest of an American Bushtit, Psaltriparius minimus
Saika Esani, John V. H. Constable, Tricia A. Van Laar
Genome Announcements   ·   16 Mar 2017   ·   doi:10.1128/genomea.00017-17
Spermine and Spermidine Alter Gene Expression and Antigenic Profile of <i>Borrelia burgdorferi</i>
Spermine and Spermidine Alter Gene Expression and Antigenic Profile of Borrelia burgdorferi
Ying-Han Lin, Jesus A. Romo, Trever C. Smith, Ann N. Reyes, S. L. Rajasekhar Karna, Christine L. Miller, Tricia A. Van Laar, Raghunandan Yendapally, James P. Chambers, J. Seshu
Infection and Immunity   ·   01 Mar 2017   ·   doi:10.1128/iai.00684-16

2016

Global transcriptome responses including small RNAs during mixed‐species interactions with methicillin‐resistant <i>Staphylococcus aureus</i> and <i>Pseudomonas aeruginosa</i>
Global transcriptome responses including small RNAs during mixed‐species interactions with methicillin‐resistant Staphylococcus aureus and Pseudomonas aeruginosa
Christine L. Miller, Tricia A. Van Laar, Tsute Chen, S. L. Rajasekhar Karna, Ping Chen, Tao You, Kai P. Leung
MicrobiologyOpen   ·   21 Nov 2016   ·   doi:10.1002/mbo3.427
Genome Sequences of Three Spore-Forming Bacteria Isolated from the Feces of Organically Raised Chickens
Genome Sequences of Three Spore-Forming Bacteria Isolated from the Feces of Organically Raised Chickens
Victoria Kennedy, Tricia A. Van Laar, Omoshola Aleru, Michael Thomas, Michelle Ganci, Mamta Rawat
Genome Announcements   ·   27 Oct 2016   ·   doi:10.1128/genomea.00880-16
Genome Sequence of a Multidrug-Resistant Strain of
            <i>Bacillus pumilus</i>
            , CB01, Isolated from the Feces of an American Crow,
            <i>Corvus brachyrhynchos</i>
Genome Sequence of a Multidrug-Resistant Strain of Bacillus pumilus , CB01, Isolated from the Feces of an American Crow, Corvus brachyrhynchos
R. Lee Nelson, Michael A. Castro, Madhusudan Katti, Jonathan A. Eisen, Tricia A. Van Laar
Genome Announcements   ·   25 Aug 2016   ·   doi:10.1128/genomea.00807-16
Statins reduce spirochetal burden and modulate immune responses in the C3H/HeN mouse model of Lyme disease
Statins reduce spirochetal burden and modulate immune responses in the C3H/HeN mouse model of Lyme disease
Tricia A. Van Laar, Camaron Hole, S.L. Rajasekhar Karna, Christine L. Miller, Robert Reddick, Floyd L. Wormley, J. Seshu
Microbes and Infection   ·   01 Jun 2016   ·   doi:10.1016/j.micinf.2016.03.004

2015

Sublethal Concentrations of Carbapenems Alter Cell Morphology and Genomic Expression of <i>Klebsiella pneumoniae</i> Biofilms
Sublethal Concentrations of Carbapenems Alter Cell Morphology and Genomic Expression of Klebsiella pneumoniae Biofilms
Tricia A. Van Laar, Tsute Chen, Tao You, Kai P. Leung
Antimicrobial Agents and Chemotherapy   ·   01 Mar 2015   ·   doi:10.1128/aac.04581-14

2014

Genome Sequence of a Multidrug-Resistant Strain of <i>Klebsiella pneumoniae</i>, BAMC 07-18, Isolated from a Combat Injury Wound
Genome Sequence of a Multidrug-Resistant Strain of Klebsiella pneumoniae, BAMC 07-18, Isolated from a Combat Injury Wound
Tricia A. Van Laar, Tsute Chen, Brandon M. Childers, Ping Chen, Johnathan J. Abercrombie, Kai P. Leung
Genome Announcements   ·   24 Dec 2014   ·   doi:10.1128/genomea.01230-14

2013

MrkD
            <sub>1P</sub>
            from <i>Klebsiella pneumoniae</i> Strain IA565 Allows for Coexistence with <i>Pseudomonas aeruginosa</i> and Protection from Protease-Mediated Biofilm Detachment
MrkD 1P from Klebsiella pneumoniae Strain IA565 Allows for Coexistence with Pseudomonas aeruginosa and Protection from Protease-Mediated Biofilm Detachment
Brandon M. Childers, Tricia A. Van Laar, Tao You, Steven Clegg, Kai P. Leung
Infection and Immunity   ·   01 Nov 2013   ·   doi:10.1128/iai.00521-13

2012

Effect of Levels of Acetate on the Mevalonate Pathway of <i>Borrelia burgdorferi</i>
Effect of Levels of Acetate on the Mevalonate Pathway of Borrelia burgdorferi
Tricia A. Van Laar, Ying-Han Lin, Christine L. Miller, S. L. Rajasekhar Karna, James P. Chambers, J. Seshu
PLoS ONE   ·   31 May 2012   ·   doi:10.1371/journal.pone.0038171

2011

Oligopeptide Permease A5 Modulates Vertebrate Host-Specific Adaptation of Borrelia burgdorferi
Oligopeptide Permease A5 Modulates Vertebrate Host-Specific Adaptation of Borrelia burgdorferi
B. V. Subba Raju, Maria D. Esteve-Gassent, S. L. Rajasekhar Karna, Christine L. Miller, Tricia A. Van Laar, J. Seshu
Infection and Immunity   ·   01 Aug 2011   ·   doi:10.1128/iai.05234-11